Scholarship program to carry out undergraduate and graduate studies in Cuba.
The Embassy of the Republic of Cuba in Barbados informs that the call for the Scholarship Program to undertake undergraduate and postgraduate studies in Cuba is open.
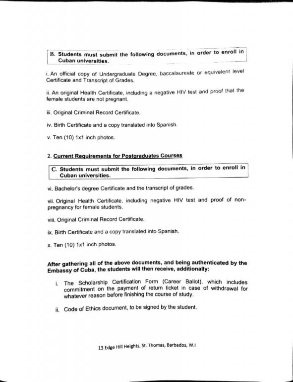
Barbadian students who complete high school studies this year will be able to opt for undergraduate studies in Cuba for the next Academic Year 2026-2027. The studies can be carried out in different specialties of Social and Humanistic Sciences, Medical Sciences, Natural Sciences and Mathematics, and Agricultural Sciences. Postgraduate specialties are offered to Barbadians who have completed undergraduate studies in Cuba and wish to continue specialization studies in the field in which they graduated.
This scholarship program is a government agreement between the Government of Cuba and the Government of Barbados, so applications must be submitted and processed by the Ministry of Educational Transformation and Tertiary Education of Barbados. The candidate selection process ends on May 15, 2026. You can get all the information here.
Don't miss this great professional opportunity! Cuba awaits you and welcomes you with all the hospitality and solidarity that characterize the Cuban people!









